Decompression Sickness Ncbi

Cutaneous symptoms are seen in 10 to 15 of cases. If the level of dissolved gases exceeds their natural rate of removal bubbles are formed in the circulation and.

Diving Injuries Dan Annual Diving Report 2019 Edition Ncbi Bookshelf

It includes content provided to the PubMed Central International archive by participating publishers.

Decompression sickness ncbi. Tumor necrosis factor-α TNF-α interleukin-1β IL-1β and IL-6 have been all implicated in the process of inflammation associated with acute lung injury ALI. Previous studies suggested that simvastatin SIM can protect against pathological inflammation and tissue damage. Decompression sickness and arterial gas embolism collectively known as decompression illness DCI are rare but serious afflictions that can result from compressed gas diving exposures.

University of Manchester and the British Library in cooperation with the National Center for Biotechnology Information at the US. Confusion amnesia seizures unconsciousness and unexplained mood changes can be seen. The term covers both arterial gas embolism in which alveolar gas or venous gas emboli via.

After a brief explanation of decompression theory historical vignettes will serve to inform the practical application of our. Decompression sickness will develop when excess concentrations of nitrogen or helium from the respiratory gas have dissolved into the body. Summary We present the case of a 42-year-old male post-scuba diving who presented to the emergency department with confusion light-headedness left arm weakness and bilateral paraesthesia of the hands.

S-T segment and T wave changes suggestive of myocardial ischemia. A vascular right-to-left shunt rl shunt is a well-known risk factor for the development of decompression sickness DCS. Since decompression sickness DCS in humans was first described 1 mankind has embarked on an odyssey to prevent it.

Decompression sickness DCS which results from metabolically inert gas dissolved in body tissue under pressure precipitating out of solution and forming bubbles during decompression. To our knowledge this. However if hyperbaric exposure time exceeds the time limit fast buoyancy ascent escape has a high risk to result in decompression sickness DCS.

It typically afflicts underwater divers on poorly managed ascent from depth or aviators flying in inadequately pressurised aircraft. DCI can present Updates in Decompression Illness. The ever-present desire of humankind to explore new limits introduced us to the syndrome of decompression sickness DCS.

Neurological symptoms of headache and visual disturbances are present in 10 to 15 of decompression sickness cases. Bubbles most commonly evolve from dissolved inert gas accumulated during the exposure to increased ambient pressure. Decompression sickness DCS is a potentially crippling disease caused by intracorporeal bubble formation during or after decompression from a compressed gas underwater dive.

Decompression sickness DCS can occur during unpressurized flight to altitudes 18000 ft FL180. The dissolved gases are removed from the body with exhalation. Dive-related injuries are commonly due to barotrauma or from breathing gas at increased pressures resulting in decompression illness DCI a term that includes both decompression sickness DCS and arterial gas embolism AGE.

Risk is primarily determined by the pressure-time profile but is influenced by several factors. And ventricular arrhythmias ranging from unifocal premature ventricular contractions to. The aim of this study was to investigate the relationship between right-to-left shunt RLS and the clinical features of decompression sickness DCS in scuba ncbinlmnihgov INTRODUCTION.

Symptoms can range from minor aches and pains to neurologic or cardiopulmonary complications resulting in death. Decompression sickness DCS is a specific diving injury which sometimes may be life-threatening. Electrocardiographic changes observed in 21 dogs suffering from spinal cord decompression sickness DCS are described.

4232015 Decompression sickness syndrome DCS is caused by microbubbles forming in blood vessels or tissues during a reduction in environmental pressure decompression. Decompression illness is caused by intravascular or extravascular bubbles that are formed as a result of reduction in environmental pressure decompression. 5212018 Type 2 decompression sickness is the more severe form and includes neurological respiratory and cardiovascular symptoms.

Changes seen included P wave peaking and P-R depression compatible with right heart strain. National Library of Medicine NCBINLM. Case reports for 3322 air and N2-O2 dives resulting in 190 DCS events were retrospectively analyzed and the outcomes were scored as 1 serious neurological 2 cardiopulmonary 3 mild neurological 4.

This broad overview of DCS is aimed at its pathophysiology and basics of therapeutic strategies. The demonstration that decompression releases bubbles which mainly contain inert gas nitrogen helium. 3152017 Decompression sickness DCS which is caused by inert gas bubbles in tissues is an injury of concern for scuba divers compressed air workers astronauts and aviators.

The patient may suffer from altered sensation of paraesthesia or hyperesthesia. The bubbles are formed due to supersaturation when the rate of pressure reduction exceeds the rate of inert gas mostly nitrogen but occasionally helium washout from tissues 1.

Pdf Perfluorocarbons For The Treatment Of Decompression Illness How To Bridge The Gap Between Theory And Practice

Figure Upper Left Deck Decompression Chamber Statpearls Ncbi Bookshelf

Covid 19 Related Complications And Decompression Illness Share Main Features Could The Sars Cov2 Related Complications Rely On Blood Foaming Abstract Europe Pmc

Diving Injuries Dan Annual Diving Report 2019 Edition Ncbi Bookshelf

Device Closure Of Pfo In Scuba Divers With Decompression Sickness Heart Vascular Centre

Abdominal Ct Scan Findings Of Decompression Sickness A Case Report Abstract Europe Pmc

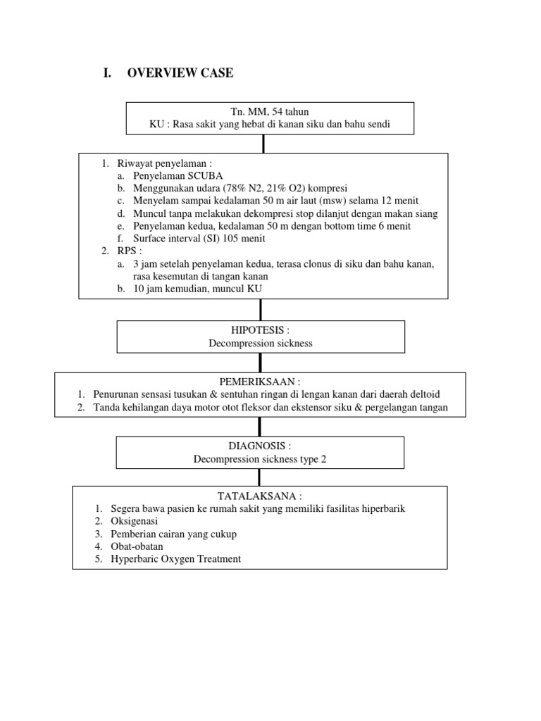
Case 1 Docx

Decompression Sickness During The Sinking Of A Caisson A Study Of Some Factors In The Pathogenesis Of Caisson Disease Abstract Europe Pmc

Abdominal Ct Scan Findings Of Decompression Sickness A Case Report Abstract Europe Pmc

What To Know About Decompression Sickness

Pdf Perfluorocarbons For The Treatment Of Decompression Illness How To Bridge The Gap Between Theory And Practice

Diving Injuries Dan Annual Diving Report 2019 Edition Ncbi Bookshelf

Evidence Brief Hyperbaric Oxygen Therapy Hbot For Traumatic Brain Injury And Or Post Traumatic Stress Disorder Va Evidence Synthesis Program Evidence Briefs Ncbi Bookshelf

Https Juke Kedokteran Unila Ac Id Index Php Agro Article Download 1813 Pdf

Diving Injuries Dan Annual Diving Report 2019 Edition Ncbi Bookshelf

Diving Injuries Dan Annual Diving Report 2019 Edition Ncbi Bookshelf

Pdf Covid 19 Related Complications And Decompression Illness Share Main Features Could The Sars Cov2 Related Complications Rely On Blood Foaming

Diving Injuries Dan Annual Diving Report 2019 Edition Ncbi Bookshelf

What To Know About Decompression Sickness


Post a Comment for "Decompression Sickness Ncbi"